製品情報

セレキュアモイスト 断熱タイプ(コンクリート水平面の高断熱湿潤養生シート)|セーレン株式会社

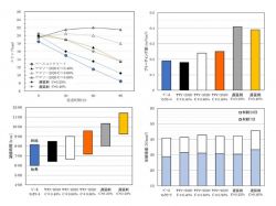
「セレキュアモイスト 断熱タイプ」は、独自開発のダブル断熱層により、高い保温性を発揮するコンクリート保温養生シート。従来品の約2分の1までコンクリート表面温度変化を抑え、長時間の保水能力も有することから緻密なコンクリート構造物製作に大きく貢献するシートである。

  • NETISKT-200047-VE

セーレン株式会社

このメーカーの製品一覧 >

住所〒107-0062 東京都港区南青山1-1-1 TEL03-5411-3411 FAX03-5411-1524
HPhttps://www.seiren.com/

最終更新日:2025-10-20

「コンクリート工」の製品ランキング

上記全てを資料請求する

更新日:2025年12月15日 集権期間:2025年10月1日~2025年12月14日 ※当サイトの各ページの閲覧回数を元に算出したランキングです。

「コンクリート工」の新着電子カタログ

TOP