- 2026-01-21
- 特集 コンクリートの維持管理 | 積算資料公表価格版
はじめに
わが国では、少子高齢化による労働力不足、財政難および物価高が同時に進行している。
このような厳しい社会情勢下で多くのコンクリート構造物を維持管理するには、劣化が進行してから対処する「事後保全」から事前に対策を講じる「予防保全」へ転換を図る必要がある。
その予防保全対策として、比較的安価で施工性に優れる「シラン系表面含浸材」(写真-1)が採用されることがある。
本稿では、シラン系表面含浸材について解説するとともに、これまで著者が行った実験結果をもとに、シラン系表面含浸材によるコンクリート補修の効果について紹介する。
1. シラン系表面含浸材について
1-1 シラン系表面含浸材の概念
シラン系表面含浸材は、吸水抑制を図るため、コンクリート表層を疎水化させる含浸性の補修材料である。
コンクリート表面に塗布すると図-1に示すように表層へ含浸し、表面や表層の空隙壁面に疎水基が固着する。
これにより表面近傍に吸水防止層が形成され、外部からの水分浸入が抑制される。
固着した疎水基同士の距離は水滴より小さいが、水蒸気よりは大きい。
さらに、塗布を行っても空隙は充填されない。
よって表面被覆とは異なり、コンクリート内部で発生した水蒸気は外部へ移動することができる。
また、塗布を行っても表面の外観が変化しないため、塗布後も表面の目視点検が可能となる。
写真-2は実験室で塗布後、切断して水を噴霧し、吸水防止層の形成状況を調べた事例である。
水が付着せず、濡れ色を呈していない層が吸水防止層である。
適切な施工により、コンクリートやポリマーセメントモルタルの硬化体に吸水防止層を形成させることができる。
なお、粗大なひび割れが発生している場合、塗布しても空隙が充填されないため、塗布だけでは外部からの水分浸入の抑制を期待することは難しい。
そのような場合、ひび割れを適切に補修した上で塗布を行う必要がある。
1-2 吸水防止層の形成機構
図-2は吸水防止層の形成機構を示している。
シラン系表面含浸材の主成分は、シランモノマー(アルキルアルコキシシラン)あるいはこれを重合させたシランオリゴマー(アルキルアルコキシシロキサン)またはこれらの混合物である。
製品は、主成分を界面活性剤等で乳化させて水で希釈、または、主成分を有機溶剤であるミネラルスピリットやイソプロピルアルコールもしくはそれ以外の溶剤で希釈した構成となっている。
吸水防止層は、シランモノマーやシランオリゴマーに含まれるアルコキシ基が加水分解し、表面や空隙壁面の水酸基と化学的に結合することで生成される。
シランモノマーは含浸しやすい反面、揮発しやすい特徴がある。
一方、シランオリゴマーはシランモノマーに比べると含浸しにくいものの、揮発はしにくい。
シランモノマーとシランオリゴマーを混合させたタイプの「シラン・シロキサン」は、シランオリゴマーの存在により、シランモノマーが揮発しにくくなるため、厚い吸水防止層が形成されやすくなる。
なお、シランモノマーのみでも、適切な施工を行うことで、厚い吸水防止層を形成させることは十分可能である。
また、上向き・横向きの塗布作業を考慮し、液垂れ防止を目的としたクリーム状やジェル状の製品も市販されている。
1-3 吸水防止層の管理
写真-3は、塗布後16年が経過したコンクリート構造物から採取したコアに水を噴霧した様子である。
向かってコア左側が表面である。
表面は撥水せず、濡れ色を呈している。
これに対して、表層は明らかに撥水している。
疎水基を構成するアルキル基は有機であり、紫外線の影響を受けやすい。
紫外線が常時作用する表面の撥水性は早期に消失しやすいが、紫外線が作用しない表層の吸水抑制機能は失われにくく、表層に形成された吸水防止層は長期にわたって残存する。
このため、厚い吸水防止層の形成は補修効果を持続させる観点から極めて重要であり、機関によっては、表-1に示すように製品選定の目安として、所定の試料に塗布したときの含浸深さや、試料に形成された吸水防止層の塩化物イオン浸透抑制に関する規格値が定められている1)~4)。
しかし、適切に製品を選定しても、水分が多く含まれているコンクリートに塗布すると、主成分が表面近傍で早期に加水分解を起こし、疎水基のもととなるアルキル基が内部へ深く含浸することなく、表面近傍に固着してしまうため、十分な厚さの吸水防止層が形成されない。
このことから、塗布前ならびに塗布後も含浸が進行している間は、吸水防止層を形成させるため、コンクリートを乾燥状態に保つことが重要となる。
なお、工事において吸水防止層の形成状況を確認するために都度、削孔を行うと構造物に損傷を与え、また、多くの時間と労力が費やされる。
これに鑑み、近年は図-3に示すように、塗布したシラン系表面含浸材は深さ方向に加えて表面方向へも含浸することに着目し、表面の一部に無塗布範囲を設定し、塗布範囲と無塗布範囲の境界から無塗布範囲側の表面に撥水域が形成されていることを目視で把握することにより、深さ方向への含浸の有無を非破壊で管理する方法も示されている5)。
2. シラン系表面含浸材による補修効果
次に、これまで著者が得た実験結果をもとに、環境に起因する塩害、凍害、中性化、ASR、化学的侵食の各劣化に対する、シラン系表面含浸材によるコンクリート補修効果について紹介する。
2-1 塩害6)
塩害は、塩化物イオンによって鉄筋表面の不動態被膜が破壊され、鉄がイオン化して溶脱し、水分と酸素の作用によって鉄筋が腐食する劣化現象である。
ここでは、腐食抑制に及ぼすシラン系表面含浸材による吸水抑制の効果について調べた。
図-4は供試体である。
水セメント比は55%で、セメントは普通ポルトランドセメントを使用している。
コンクリート中の塩化物イオン量は1、2、3、4、5kg/m³の5水準、かぶりは30mmと50mmの2水準としている。
塗布後、温度が70℃で相対湿度が90%以上の高温高湿作用を3日間、20℃で相対湿度が70%以下の乾燥作用を4日間、計7日間1サイクルの乾湿繰返しを20サイクル行った。
図-5は塩化物イオン量と、乾湿繰返し20サイクル後の鉄筋腐食面積率の関係である。
無塗布に比べて、塗布した方は水分浸入の抑制により、鉄筋腐食面積率が小さくなっている。
なお、塗布した方は、かぶり30mmにおいて、4kg/m³から5kg/m³にかけて鉄筋腐食面積率が大きく上昇している。
一方で、かぶり50mmにおける5k g/m³ の鉄筋腐食面積率は、かぶり30mmに比べると小さい。
このことから、塩害に対する補修効果は期待できると言える。
しかし、塩化物イオン量が過度に多い場合、鉄筋の不動態被膜が大きく損傷し、外から侵入する僅かな水蒸気によって鉄筋腐食面積率が増大する懸念もあり、特にかぶりが小さい場合は注意が必要である。
2-2 凍害(スケーリング)7)
寒冷地の沿岸や凍結防止剤散布域特有の環境である塩水と凍結融解の複合作用は、表面がうろこ状に剥がれるスケーリングを促進させることが知られている。
そこで、塩水の侵入を抑えるシラン系表面含浸材によるスケーリングの抑制効果を調べた。
図-6 は供試体である。
水セメント比は55%で、セメントはスケーリングが進行しやすいとされる高炉セメントB種を使用している。
塗布後、試験水として3%濃度のNaCl水溶液を6mm張り、-18℃で16時間、23℃で8時間の1日1サイクルの凍結融解を与えた。
また、凍結融解試験を途中で中断し、シラン系表面含浸材を再塗布するケースも設けた。
図-7はスケーリング量の測定結果である。
試験前に1回だけ塗布した場合、50サイクルまではスケーリング抑制効果が確認された。
しかし、100サイクル以降で突然、スケーリングが多く発生した。
図-8は、この理由を整理したものである。
シラン系表面含浸材を塗布した表面を水に漬けた状態で長期にわたって凍結融解を与えると、水面から表面へ向けて繰返し作用する試験水の凍結膨張作用に対する抵抗が次第に弱まり、表層の空隙へ未凍結水が押し込まれるようになる。
一方で凍結過程において空隙で発生する水分の流動は空隙壁面の疎水基によって阻害される。
その結果、サイクルの経過に伴い、押し込まれる未凍結水の量は増加し、かつ、空隙内での水分の流動が阻害されるために圧力も蓄積され、最終的に圧力緩和のために吸水防止層が圧力で壊され、スケーリングに至る。
なお、図-7をみると、凍結融解試験を途中で中断し、再塗布を行った場合はスケーリング量が減少していることがわかる。
このことは、再塗布によって吸水防水層の吸水抵抗性が強まり、空隙への未凍結水の押し込みに対する抵抗が増大するため、スケーリングの抑制が図られることを示している。
以上より、寒冷地では道路橋の地覆や壁高欄のように、水はしばしばかかるものの常時滞水せず、水の浸入が止まると乾燥が始まる部位への適用が適切と言える。
また、水と接触しやすい部位においては、吸水抵抗性を高める再塗布を定期的に行うことも効果的と言える。
実構造物における適切な再塗布のタイミングについては、現在検討しているところである。
2-3 中性化8)
図-9は塗布後15年経過した実構造物で測定した中性化深さの測定結果である。
無塗布に比べると、塗布した方がやや中性化が進行していることがわかる。
一方、JSCE-K 571 に準じ、室内で中性化促進試験を行うと、対照的に塗布した方が中性化深さは小さくなることが報告されている9)。
中性化は溶解した二酸化炭素がセメント水和物と反応して進行するため、中性化反応には水分が必要である。
逆に空隙が水分で閉塞されると、二酸化炭素の侵入量が少なくなるため、中性化が進行しない。
このため、図-10に示すように、中性化深さは二酸化炭素の侵入と中性化が両方起きる中程度の湿度で最大となる。
気中に曝されるコンクリートにシラン系表面含浸材を塗布すると、表層の水分はアルコキシ基の加水分解で消費され、また外部からの水分浸入も減少するため、表層の相対湿度は下がることになる。
このことから、室内の供試体はあらかじめ中程度の湿度環境に静置されているため、塗布によって中性化が進みにくい方向へシフトするが、実環境は一般に湿度が高く、部位の環境によっては塗布によって中性化が進みやすくなることがあると言える。
なお、吸水が抑制されるため、鉄筋腐食の抑制はある程度期待できる。
2-4 ASR10)
ASR(アルカリシリカ反応)は、骨材周囲に形成されたシリカゲルの膨潤によってひび割れに至る劣化現象である。
近年、報告が少なかった低温の北海道でもASRが顕在化している。
原因として凍結防止剤の蓄積や気温変化の影響が疑われる。
ここでは予防保全の必要性に鑑み、ASRの抑制に及ぼすシラン系表面含浸材による吸水抑制の効果を調べた。
図-11は供試体である。
実構造物に見立て、D13鉄筋(腐食防止のためエポキシ樹脂塗装鉄筋使用)を2本埋設した。
水セメント比は55%、セメントは普通ポルトランドセメントとした。
骨材は反応性骨材を使用し、コンクリートにはアルカリとしてNaClを15kg/m³混入した。
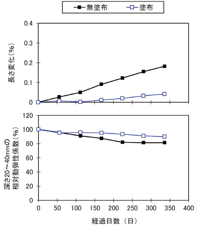
図-12は、表面に3%濃度のNaCl水溶液を張って20℃の空間に静置し、28日おきに塩水を除去して50℃の空間に28日間曝す作業を繰返した場合の長さ変化および相対動弾性係数の推移である。
供試体にはASRの劣化因子であるアルカリと反応性骨材が含まれているが、もう一つの劣化因子である水分の浸入が塗布によって抑制されたことでASR が進行しにくくなり、無塗布に比べると長さ変化の増加および相対動弾性係数の低下がともに抑えられている。
このことから、ASRを完全に防ぐことは難しいが、外部からの水の浸入に起因するASRに対する補修効果は期待できると言える。
2-5 化学的侵食
シラン系表面含浸材はコンクリートに吸水抑制機能を付与するが、硫酸溶液と接触する環境での適用性に関しては文献が少なかったことから、効果の有無を調べた。
図-13は硫酸浸漬試験の概要である。
供試体は円柱とし、水セメント比は化学的侵食が進みやすいよう65%としている。
セメントは普通ポルトランドセメントとしている。
円柱の全面に塗布した後、供試体を5% 濃度の硫酸溶液に浸漬させ、1週間おきに質量減少率を調べた。
図-14は質量減少率の測定結果である。
塗布した方が吸水抑制の効果により、質量の減少は僅かながら抑えられているようにも見えるが、塗布の効果よりも硫酸の作用による侵食の影響が圧倒的に大きく、質量減少率の推移については、塗布、無塗布でほぼ同程度となっている。
化学的侵食に関しては、5%濃度の硫酸に浸漬させた範囲ではシラン系表面含浸材による補修効果を大きく期待することは難しいように思われる。
おわりに
本稿では、予防保全対策として採用実績があるシラン系表面含浸材について、その特徴を解説するとともに、これまで著者が行った実験結果をもとにシラン系表面含浸材によるコンクリート補修の効果を紹介した。
道路橋の設計供用期間は100年が標準とされている。
実環境での長期におよぶ塗布効果の持続性に関しては、各機関で実施されている暴露実験や追跡調査の結果を待つ必要はあるが、水分が関与する劣化の進行を遅らせる効果は期待できる。
本稿がコンクリート構造物の予防保全の実施の一助となれば幸いである。
参考文献
1) 国土交通省北海道開発局:令和7年度北海道開発局道路設計要領第3 集 第2 編 参考資料B、p.(3-コB-6)、2025.4
2) 東日本高速道路株式会社、中日本高速道路株式会社、西日本高速道路株式会社:構造物施工管理要領、p.(2-234)、2015.7
3) 日本建築学会:鉄筋コンクリート造建築物の耐久性調査・診断および補修指針(案)・同解説、p.196、1997.1
4) 日本建築仕上材工業会:建築仕上材ガイドブック、p.236、工文社、2006.2
5) 国立研究開発法人土木研究所:コンクリート構造物の補修対策施工マニュアル2022 年版、pp.(Ⅱ-74)-(Ⅱ-77)、2022.12
6)遠藤裕丈、島多昭典:塩化物イオンを含む鉄筋コンクリートへのシラン系表面含浸材の適用による腐食抑制効果と適用限界、コンクリート構造物の補修、補強、アップグレード論文報告集、第21巻、pp.197-202、2021.10
7) 遠藤裕丈、三原慎弘:シラン系表面含浸材の再塗布によるスケーリング抑制効果、寒地土木研究所月報「寒地土木技術研究」、 No.865、pp.16-21、2025.1
8) 遠藤裕丈、島多昭典:シラン系表面含浸材を塗布して15~16年経過した北海道の道路橋地覆コンクリートでの追跡調査、コンクリート工学年次論文集、Vol.44、No.1、pp.1432-1437、 2022.7
9) 土木学会:表面保護工法設計施工指針(案)、コンクリートライブラリー119、pp.224-225、2005.4
10) 遠藤裕丈、長谷川諒、島多昭典:周辺環境がASRによるコンクリートの劣化に及ぼす影響およびASR 対策、寒地土木研究所月報「寒地土木技術研究」、No.839、pp.28-33、2023.1
【出典】
積算資料公表価格版2026年2月号

最終更新日:2026-01-21
同じカテゴリーの新着記事
- 2026-01-21
- 特集 コンクリートの維持管理 | 積算資料公表価格版
- 2026-01-21
- 特集 コンクリートの維持管理 | 積算資料公表価格版
- 2025-12-19
- 特集 上水・下水道施設の維持管理 | 積算資料公表価格版
- 2025-12-19
- 特集 上水・下水道施設の維持管理 | 積算資料公表価格版
- 2025-12-19
- 特集 上水・下水道施設の維持管理 | 積算資料公表価格版





















