排煙濃度計|株式会社東洋制御
株式会社東洋制御
ヘーベル 外壁|旭化成建材株式会社
旭化成建材株式会社
外壁複合改修工法|一般社団法人外壁複合改修工法協議会
一般社団法人外壁複合改修工法協議会
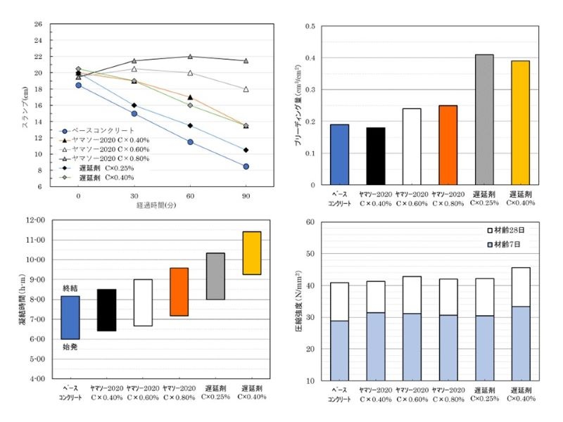
SAMフォーム|SAM協会
SAM協会
下水用空気弁スペースエア D26形 ステンレス製|清水工業株式会社
清水工業株式会社
トイパックII neo|長島鋳物株式会社
長島鋳物株式会社
クイックブランチ600|スリーエム ジャパン株式会社
スリーエム ジャパン株式会社
保安灯具 ウィンピカNEO|西日本高速道路エンジニアリング中国株式会社
西日本高速道路エンジニアリング中国株式会社
Tekla STructure|株式会社トリンブル・ソリューションズ
株式会社トリンブル・ソリューションズ
サステオ|株式会社ユーグレナ
株式会社ユーグレナ

テラメッシュ工法|エターナルプレザーブ株式会社

外壁剥落防止工法 ノンネットガードU工法|シーカ・ジャパン株式会社

外壁タイル剥落防止工法 エバーガードSG工法|シーカ・ジャパン株式会社

「S-HND SK-NEO(エスハンド エスケイネオ)工法」|S-HND SK-NEO工法会

災害用組立無水小便器 クイックセットアップ/非常用トイレ処理パック はばか郎|株式会社セットアップ横浜

バイオラックストイレ本体/女性専用仮設快適バイオトイレ/備蓄用仮設公衆トイレ|正和電工株式会社

快適トイレシリーズ/快適トイレ周辺商品|日野屋株式会社

掘削土再利用連壁工法 CRM工法|CRM工法研究会