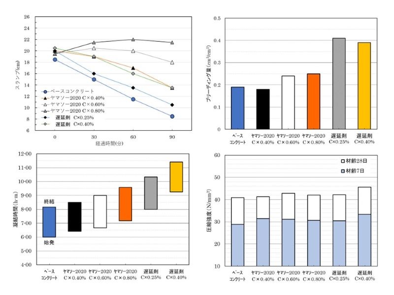
ヤマソー2020|山宗化学株式会社
山宗化学株式会社
マルライナー工法|株式会社マルナカ
株式会社マルナカ
広域災害鑑定サービス|内山鑑定株式会社
内山鑑定株式会社
ダクタイル鋳鉄製伸縮可とう管|コスモ工機株式会社
コスモ工機株式会社
LOCK series アミ付踏板|平和技研株式会社
平和技研株式会社
EV充電エネチェンジ|ミライズエネチェンジ株式会社
ミライズエネチェンジ株式会社
クレーンパッドシリーズ|有限会社アビルコインターナショナル
有限会社アビルコインターナショナル
水平排水材 ヘチマロンFT|新光ナイロン株式会社
新光ナイロン株式会社
RC補強工法|一般社団法人繊維強化コンクリート協会
一般社団法人繊維強化コンクリート協会
スルーサーB|株式会社三研テクノクリエイト
株式会社三研テクノクリエイト

ドローン用スプレー缶噴射装置 SABOTー3|鋼鈑商事株式会社

乗用芝・草刈機 SXG327/兼用型トラクター TXGS24/バッテリー式乗用芝刈機 ZT4200E-S|井関農機株式会社/株式会社ISEKI Japan

非開削マンホール更生・防食技術 MLR工法(Eタイプ・Gタイプ)|MLR協会

エスプラネードライトフロアブル、デスティニーWDGを用いた除草技術|エンバイロサイエンスジャパン株式会社

耐震構造型天井システム タンゴ天井|株式会社佐藤型鋼製作所

準構造化耐震天井 スマートタイト®45 ショートタイプ|株式会社佐藤型鋼製作所

建設振動の伝播経路対策技術 防振堤|株式会社藤崎商会

ゲルフィットロープ/ゲルリング/ゲルピタットQ|株式会社シーケー