スパイダードリリング工法・無足場タイプ|災対新技術研究会
災対新技術研究会
タフネジナット|共英製鋼株式会社
共英製鋼株式会社
LRTK|レフィクシア株式会社
レフィクシア株式会社
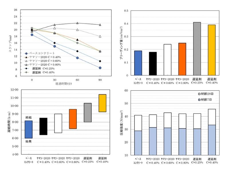
プレハブ水路 A型アーム|丸栄コンクリート工業株式会社
丸栄コンクリート工業株式会社
CI-CMC-HA工法|株式会社不動テトラ
株式会社不動テトラ
パイルネット工法|パイルネット工法協会
パイルネット工法協会
JSS-300|株式会社一中
株式会社一中
地中熱ヒートポンプシステム|株式会社ハギ・ボー
株式会社ハギ・ボー
ドライミスト式ワイヤーソーイングシステム|株式会社コンセック
株式会社コンセック
スーパーホゼン式工法|一般社団法人日本建設保全協会
一般社団法人日本建設保全協会

「S-HND SK-NEO(エスハンド エスケイネオ)工法」|S-HND SK-NEO工法会

地中熱ヒートポンプシステム|株式会社角藤

NAS ポルカプレート|日本冶金工業株式会社

通信式同期保安灯「タクトアイズ2.4」|ダンレックス株式会社

廃PET活用高耐久アスファルト改質剤|ニュートラック 5000 シリーズ|花王株式会社

耐圧ポリエチレンリブ管 (ハウエル管) ダイプラハウエル管|タキロンシーアイシビル株式会社

スリップフォームペーバ対応型トンネル専用側溝|株式会社アドヴァンス

円形水路・集水桝修繕工法 ハイパーRCD工法 /ハイパー桝カット工法|西日本高速道路メンテナンス中国株式会社