Charge-mo|極東開発パーキング株式会社
極東開発パーキング株式会社
油圧式小型抜柱機|株式会社ネクスコ・メンテナンス新潟
株式会社ネクスコ・メンテナンス新潟
防災イエローシート|株式会社HINATA
株式会社HINATA
Single-i工法|一般社団法人Triple EYE協会
一般社団法人Triple EYE協会
SF-25JSG|福西鋳物株式会社
福西鋳物株式会社
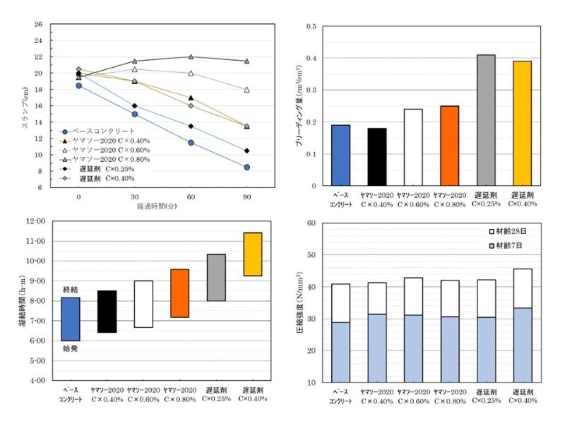
ヤマソー2020|山宗化学株式会社
山宗化学株式会社
スーパーハイジェックス|株式会社ジャペックス
株式会社ジャペックス
ロードパテ|日本橋梁工業株式会社
日本橋梁工業株式会社
SSI工法|塩害対策工法研究会
塩害対策工法研究会
ヒノダクタイルジョイントα|日之出水道機器株式会社
日之出水道機器株式会社

ドローン用スプレー缶噴射装置 SABOTー3|鋼鈑商事株式会社

乗用芝・草刈機 SXG327/兼用型トラクター TXGS24/バッテリー式乗用芝刈機 ZT4200E-S|井関農機株式会社/株式会社ISEKI Japan

非開削マンホール更生・防食技術 MLR工法(Eタイプ・Gタイプ)|MLR協会

エスプラネードライトフロアブル、デスティニーWDGを用いた除草技術|エンバイロサイエンスジャパン株式会社

耐震構造型天井システム タンゴ天井|株式会社佐藤型鋼製作所

準構造化耐震天井 スマートタイト®45 ショートタイプ|株式会社佐藤型鋼製作所

建設振動の伝播経路対策技術 防振堤|株式会社藤崎商会

ゲルフィットロープ/ゲルリング/ゲルピタットQ|株式会社シーケー