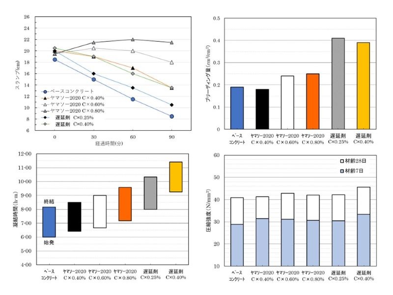
ヤマソー2020|山宗化学株式会社
山宗化学株式会社
FG快適トイレ|旭ハウス工業株式会社
旭ハウス工業株式会社
みどりの神様2号|ゴールド興産株式会社
ゴールド興産株式会社
現場見守る君 インドア|株式会社吉田東光
株式会社吉田東光
WEET(D)A-13.6|三井金属エンジニアリング株式会社
三井金属エンジニアリング株式会社
バリアフリーペイブ|日本興業株式会社
日本興業株式会社
TEC-S|株式会社スクリムテック ジャパン
株式会社スクリムテック ジャパン
衝撃弾性波法による横締めPCグラウト充填調査|一般財団法人 首都高速道路技術センター
一般財団法人 首都高速道路技術センター
ターマラスト|中日本高速技術マーケティング株式会社
中日本高速技術マーケティング株式会社
ウォーター・リサイクル|一般社団法人ウォーター・リサイクル工法協会
一般社団法人ウォーター・リサイクル工法協会

HPB(オイレス低摩擦すべり支承)/固定/可動支承図面DLシステム|オイレス工業株式会社

橋梁用シリンダー型ダンパー BMーS|オイレス工業株式会社

AI管路劣化診断 AIEyes™|Fracta Japan株式会社

伝平|ネセサリーコム株式会社

SPR-SE工法|日本SPR工法協会

JWWA B 122規格準拠品 フランジレスメタルシート仕切弁|清水工業株式会社

下水・雨水・原水用空気弁 スペースエア(ステンレス製・ナイロン樹脂製)D25形・D26形(多量吸排気タイプ)|清水工業株式会社

管きょ更生工法 アルファライナーH工法|光硬化工法協会