エイコー合成木材 杉板よしの|株式会社山一屋
株式会社山一屋
MRC工法|MRC工法本部事務局
MRC工法本部事務局
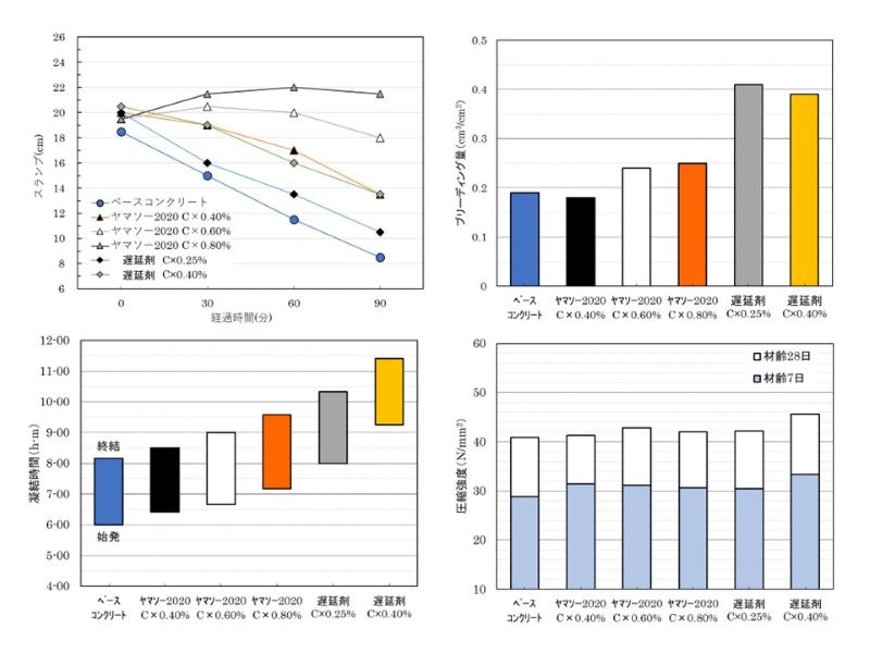
スクリュープレート|朝日工業株式会社
朝日工業株式会社
OH-C|ダイトウテクノグリーン株式会社
ダイトウテクノグリーン株式会社
EGSM工法(雨水集水ます浸透化工法)|全国非開削普及協議会
全国非開削普及協議会
MK・SUSマット|松井金網工業株式会社
松井金網工業株式会社
ICT法面施工サービス|法面土木業協会
法面土木業協会
床ピタ|有限会社廣瀬工務店
有限会社廣瀬工務店
クレーンパッドシリーズ|有限会社アビルコインターナショナル
有限会社アビルコインターナショナル
ドライマット|クリアーシステム株式会社
クリアーシステム株式会社

繊維巻立て仕上げ材 A-1mm工法/B-10mm工法|オバナヤ・セメンテックス株式会社

除草剤 ネコソギメガⅢ粒剤/ネコソギクイックプロFL|レインボー薬品株式会社

面板加圧・泥水加圧式 スーパーマルチモール工法|スーパーマルチモール工法協会

リアルタイム洪水予測システム RiverCast ®(リバーキャスト)|株式会社構造計画研究所

内圧管更生・更新工法 スーパーReパイプ工法|日本内圧管更生工法協会

FRPトラフ|福井ファイバーテック株式会社

管きょのスパン単位の異状程度と修繕効果の可視化|中日本建設コンサルタント株式会社

浄水場・ポンプ所ケーソン工/上下水道給排水水槽タンク|東京機材工業株式会社