ハイパー桝カット工法|西日本高速道路メンテナンス中国株式会社
西日本高速道路メンテナンス中国株式会社
スリーブ注入工法|日本スリーブ注入協会
日本スリーブ注入協会
ボンド アクアバインド工法|コニシベステム工業会
コニシベステム工業会
TG-NAP工法|可塑状グラウト協会
可塑状グラウト協会
スクリュープレート|朝日工業株式会社
朝日工業株式会社
鋼管補強工法|一般社団法人繊維強化コンクリート協会
一般社団法人繊維強化コンクリート協会
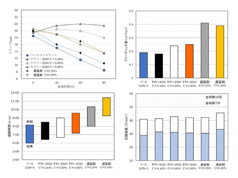
ヤマソー2020|山宗化学株式会社
山宗化学株式会社
特殊アスファルト乳剤 ハイタック AS|昭和瀝青工業株式会社
昭和瀝青工業株式会社
カーテンネット|東京製綱株式会社
東京製綱株式会社
カネライトフォーム|株式会社カネカ
株式会社カネカ

HPB(オイレス低摩擦すべり支承)/固定/可動支承図面DLシステム|オイレス工業株式会社

橋梁用シリンダー型ダンパー BMーS|オイレス工業株式会社

AI管路劣化診断 AIEyes™|Fracta Japan株式会社

伝平|ネセサリーコム株式会社

SPR-SE工法|日本SPR工法協会

JWWA B 122規格準拠品 フランジレスメタルシート仕切弁|清水工業株式会社

下水・雨水・原水用空気弁 スペースエア(ステンレス製・ナイロン樹脂製)D25形・D26形(多量吸排気タイプ)|清水工業株式会社

管きょ更生工法 アルファライナーH工法|光硬化工法協会