BizStack Assistant|MODE,Inc.
MODE,Inc.
リアクトライズ|馬居化成工業株式会社
馬居化成工業株式会社
オートカマグJET Σ|日本工機株式会社
日本工機株式会社
舗装ブロック|リソースフォレスト株式会社
リソースフォレスト株式会社
化粧型枠 ピオライトフォーム|プラン21コーポレーション株式会社
プラン21コーポレーション株式会社
BY・FAR Z-M|グローブ イーピー株式会社
グローブ イーピー株式会社
車両接近防止具|株式会社ネクスコ・エンジニアリング新潟
株式会社ネクスコ・エンジニアリング新潟
シーウォール|シーウォール推進協議会
シーウォール推進協議会
BH-RM工法|固化処理工法研究会
固化処理工法研究会
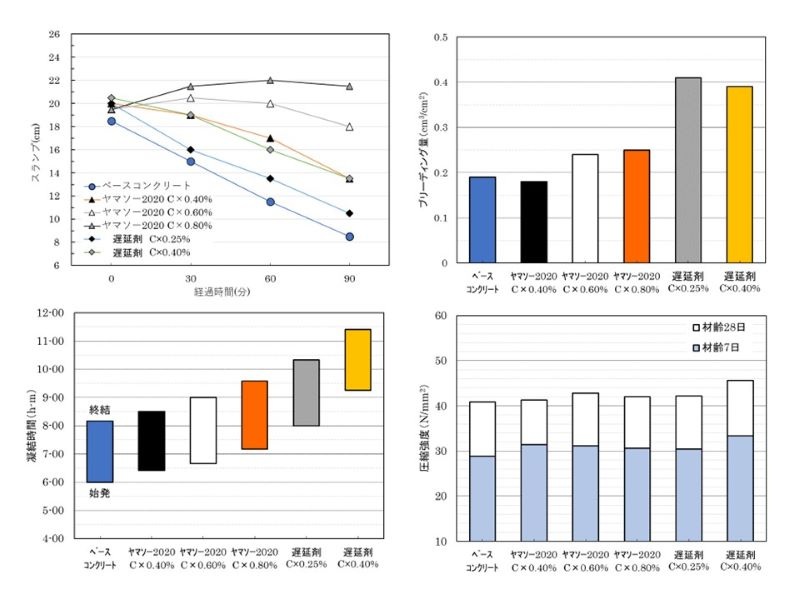
ヤマソー2020|山宗化学株式会社
山宗化学株式会社

ドローン用スプレー缶噴射装置 SABOTー3|鋼鈑商事株式会社

乗用芝・草刈機 SXG327/兼用型トラクター TXGS24/バッテリー式乗用芝刈機 ZT4200E-S|井関農機株式会社/株式会社ISEKI Japan

非開削マンホール更生・防食技術 MLR工法(Eタイプ・Gタイプ)|MLR協会

エスプラネードライトフロアブル、デスティニーWDGを用いた除草技術|エンバイロサイエンスジャパン株式会社

耐震構造型天井システム タンゴ天井|株式会社佐藤型鋼製作所

準構造化耐震天井 スマートタイト®45 ショートタイプ|株式会社佐藤型鋼製作所

建設振動の伝播経路対策技術 防振堤|株式会社藤崎商会

ゲルフィットロープ/ゲルリング/ゲルピタットQ|株式会社シーケー