ミニガードシステム 整備費|株式会社エムオーテック
株式会社エムオーテック
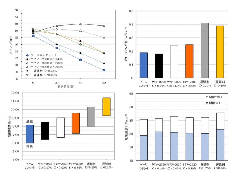
ヤマソー2020|山宗化学株式会社
山宗化学株式会社
テフィックスQ|株式会社NIPPO
株式会社NIPPO
パラミックス工法|パラミックス工法協会
パラミックス工法協会
IXI(イクシー)フェンス|ハイパワーフェンス協会
ハイパワーフェンス協会
スプリングハンガー SHZ|株式会社三門
株式会社三門
スクロールドレーン I型|静岡瀝青工業株式会社
静岡瀝青工業株式会社
ユニバーサルジャッキ|大和建工株式会社
大和建工株式会社
エルシーセイバー工法(RSII/SFII)|MUマテックス株式会社
MUマテックス株式会社
渋滞緩和LEDペースメーカーライト|高木綱業株式会社
高木綱業株式会社

ドローン用スプレー缶噴射装置 SABOTー3|鋼鈑商事株式会社

乗用芝・草刈機 SXG327/兼用型トラクター TXGS24/バッテリー式乗用芝刈機 ZT4200E-S|井関農機株式会社/株式会社ISEKI Japan

非開削マンホール更生・防食技術 MLR工法(Eタイプ・Gタイプ)|MLR協会

エスプラネードライトフロアブル、デスティニーWDGを用いた除草技術|エンバイロサイエンスジャパン株式会社

耐震構造型天井システム タンゴ天井|株式会社佐藤型鋼製作所

準構造化耐震天井 スマートタイト®45 ショートタイプ|株式会社佐藤型鋼製作所

建設振動の伝播経路対策技術 防振堤|株式会社藤崎商会

ゲルフィットロープ/ゲルリング/ゲルピタットQ|株式会社シーケー