スマート電動カーテンシステム「アンコール」(1.35mから2.4m)|カーテンコール合同会社
カーテンコール合同会社
車載型ソーラーシステムハウス|株式会社ダイワテック
株式会社ダイワテック
バキュームブラスト工法|一般社団法人バキュームブラスト施工協会
一般社団法人バキュームブラスト施工協会
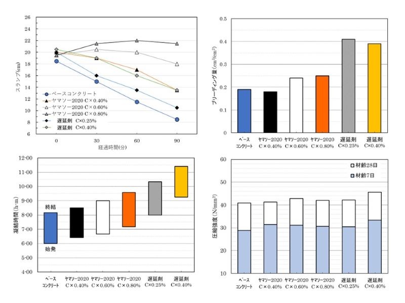
ヤマソー2020|山宗化学株式会社
山宗化学株式会社
橋梁製品シリーズ|沖縄ピーシー株式会社
沖縄ピーシー株式会社
インパクトバリア Dタイプ|東亜グラウト工業株式会社
東亜グラウト工業株式会社
Around Now!|NSW株式会社
NSW株式会社
メクレル|一般社団法人メクレルIH塗膜剥離協議会
一般社団法人メクレルIH塗膜剥離協議会
蓄積データを条件検索して該当内訳明細を高速抽出するオプション|株式会社日本オープンシステムズ(旧.和田特機)
株式会社日本オープンシステムズ(旧.和田特機)
ハイジュールネット工法|ハイジュールネット工法研究会
ハイジュールネット工法研究会

乗用芝・草刈機 SXG327/兼用型トラクター TXGS24/バッテリー式乗用芝刈機 ZT4200E-S|井関農機株式会社/株式会社ISEKI Japan

建設振動の伝播経路対策技術 防振堤|株式会社藤崎商会

ゲルフィットロープ/ゲルリング/ゲルピタットQ|株式会社シーケー

ダイヤモンド工法/ウォータージェット工法|株式会社新伸興業

移動式大風量スポットクーラー クールレボリューション|株式会社山善

ノンダイアフラム形式柱梁接合工法 KH-コラムジョイント工法|株式会社駒井ハルテック

アラミド繊維アンカーピンネット工法 ネットバリヤー工法V1|株式会社リノテック/全国エアロ会

猛暑・酷暑対策専用 冷凍剤 -40℃超の冷凍剤で瞬間冷凍 CBA冷凍剤/フリーズショット|株式会社ヴィプロス