スリーブ注入工法|日本スリーブ注入協会
日本スリーブ注入協会
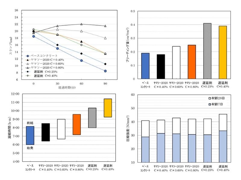
ヤマソー2020|山宗化学株式会社
山宗化学株式会社
SUSMICSーG|清水建設株式会社
清水建設株式会社
橋梁用FRP製品|福井ファイバーテック株式会社
福井ファイバーテック株式会社
ドローンによる水道添架管路及び水管橋の点検調査技術|株式会社ジャパン・インフラ・ウェイマーク
株式会社ジャパン・インフラ・ウェイマーク
ミナフォルティスCX|出光興産株式会社
出光興産株式会社
T&C防食|株式会社日興
株式会社日興
YCK工法|ヨシモトエンジニアリング株式会社
ヨシモトエンジニアリング株式会社
ラジアールーフ|元旦ビューティ工業株式会社
元旦ビューティ工業株式会社
アーバンリング工法|アーバンリング工法研究会
アーバンリング工法研究会

ドローン用スプレー缶噴射装置 SABOTー3|鋼鈑商事株式会社

乗用芝・草刈機 SXG327/兼用型トラクター TXGS24/バッテリー式乗用芝刈機 ZT4200E-S|井関農機株式会社/株式会社ISEKI Japan

非開削マンホール更生・防食技術 MLR工法(Eタイプ・Gタイプ)|MLR協会

エスプラネードライトフロアブル、デスティニーWDGを用いた除草技術|エンバイロサイエンスジャパン株式会社

耐震構造型天井システム タンゴ天井|株式会社佐藤型鋼製作所

準構造化耐震天井 スマートタイト®45 ショートタイプ|株式会社佐藤型鋼製作所

建設振動の伝播経路対策技術 防振堤|株式会社藤崎商会

ゲルフィットロープ/ゲルリング/ゲルピタットQ|株式会社シーケー