コンポジット残存型枠工法|株式会社メーソン
株式会社メーソン
ブリッジガード|株式会社アマケンテック
株式会社アマケンテック
月桃紙325(障子厚口)|日本月桃株式会社
日本月桃株式会社
SDライナーII工法〈G+VE〉|SDライナー工法協会
SDライナー工法協会
アウトプレート工法|アウトプレート工法研究会
アウトプレート工法研究会
摩擦圧接ネジ継手 EGジョイント|合同製鐵株式会社
合同製鐵株式会社
フォルカトウシート工法|日鉄ケミカル&マテリアル株式会社
日鉄ケミカル&マテリアル株式会社
PAジョイント|一般社団法人PAジョイント協会
一般社団法人PAジョイント協会
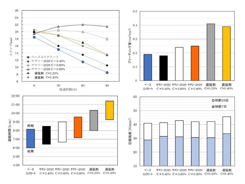
ヤマソー2020|山宗化学株式会社
山宗化学株式会社
ストーン・カバー工法|株式会社ユアハウス
株式会社ユアハウス

乗用芝・草刈機 SXG327/兼用型トラクター TXGS24/バッテリー式乗用芝刈機 ZT4200E-S|井関農機株式会社/株式会社ISEKI Japan

非開削マンホール更生・防食技術 MLR工法(Eタイプ・Gタイプ)|MLR協会

エスプラネードライトフロアブル、デスティニーWDGを用いた除草技術|エンバイロサイエンスジャパン株式会社

耐震構造型天井システム タンゴ天井|株式会社佐藤型鋼製作所

準構造化耐震天井 スマートタイト®45 ショートタイプ|株式会社佐藤型鋼製作所

建設振動の伝播経路対策技術 防振堤|株式会社藤崎商会

ゲルフィットロープ/ゲルリング/ゲルピタットQ|株式会社シーケー

ダイヤモンド工法/ウォータージェット工法|株式会社新伸興業